發新話題
打印

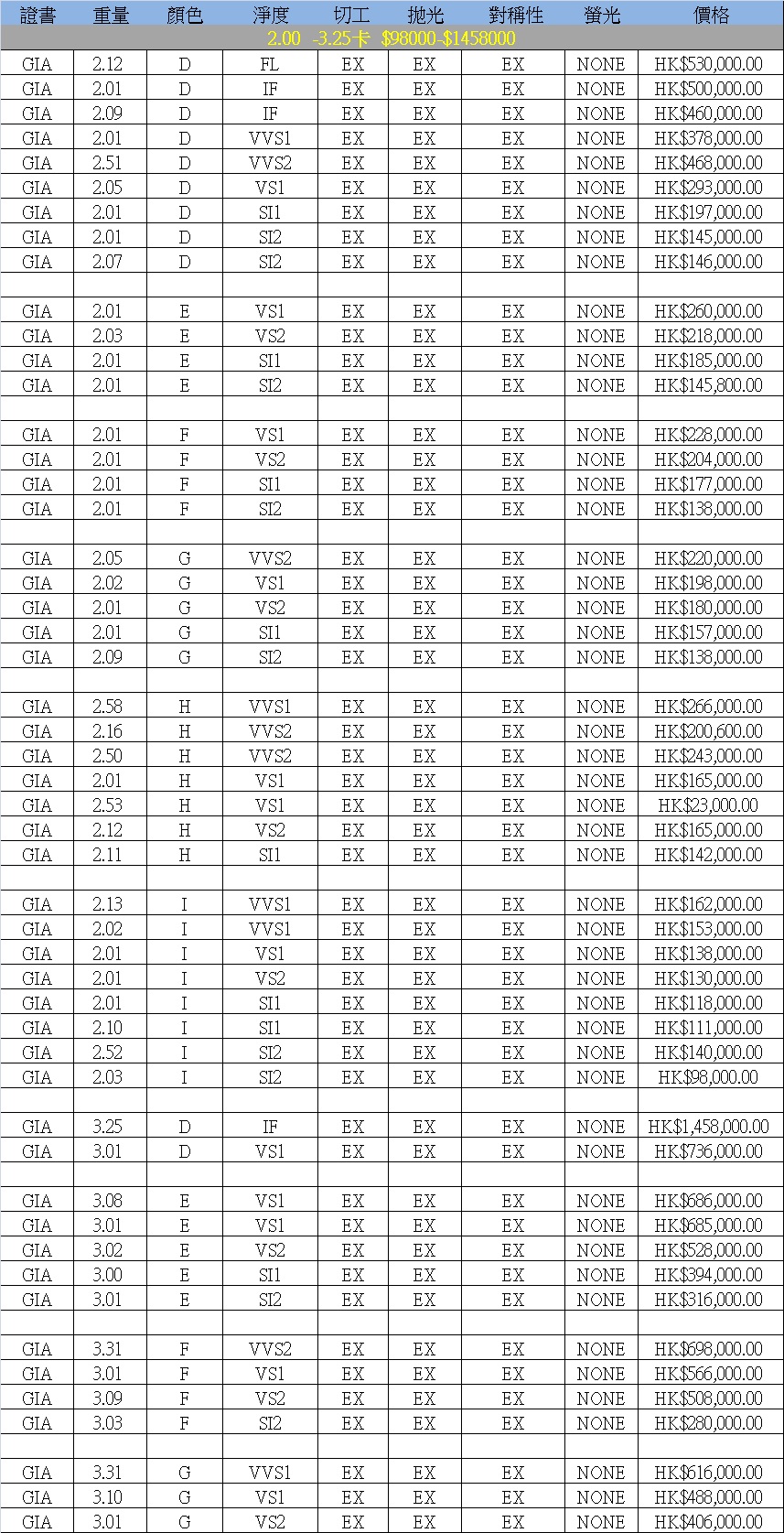
GIA鑽石:2.00ct以上(精選鑽石)

GIA鑽石:2.00ct以上(精選鑽石)

GIA鑽石:2.00ct以上(精選鑽石)
精選鑽石(Diamond)(求婚戒指)! ! !
價錢是淨鑽石價錢 .
可代鑲嵌和設計戒指托做模訂做!
還有很多其他大小鑽石,歡迎問價!
有興趣可電60142189看貨

TOP

發新話題